Bibliothèques d'Université Paris Cité
  1. Medica
    1. Bibliothèque numérique
    2. Images et portraits
    3. Asclépiades (thèses d’histoire)
    4. Manuscrits (Calames)
    5. Base biographique
    6. Medicina (bibliographie)
    7. Numérisation à la demande (EOD)
  1.   Accueil
  2. Medica
  3. Bibliothèque numérique
  4. Résultats de recherche
Medica — Bibliothèque numérique

Présentation • Mode d’emploi • Services associés • Réutilisations

page précédente

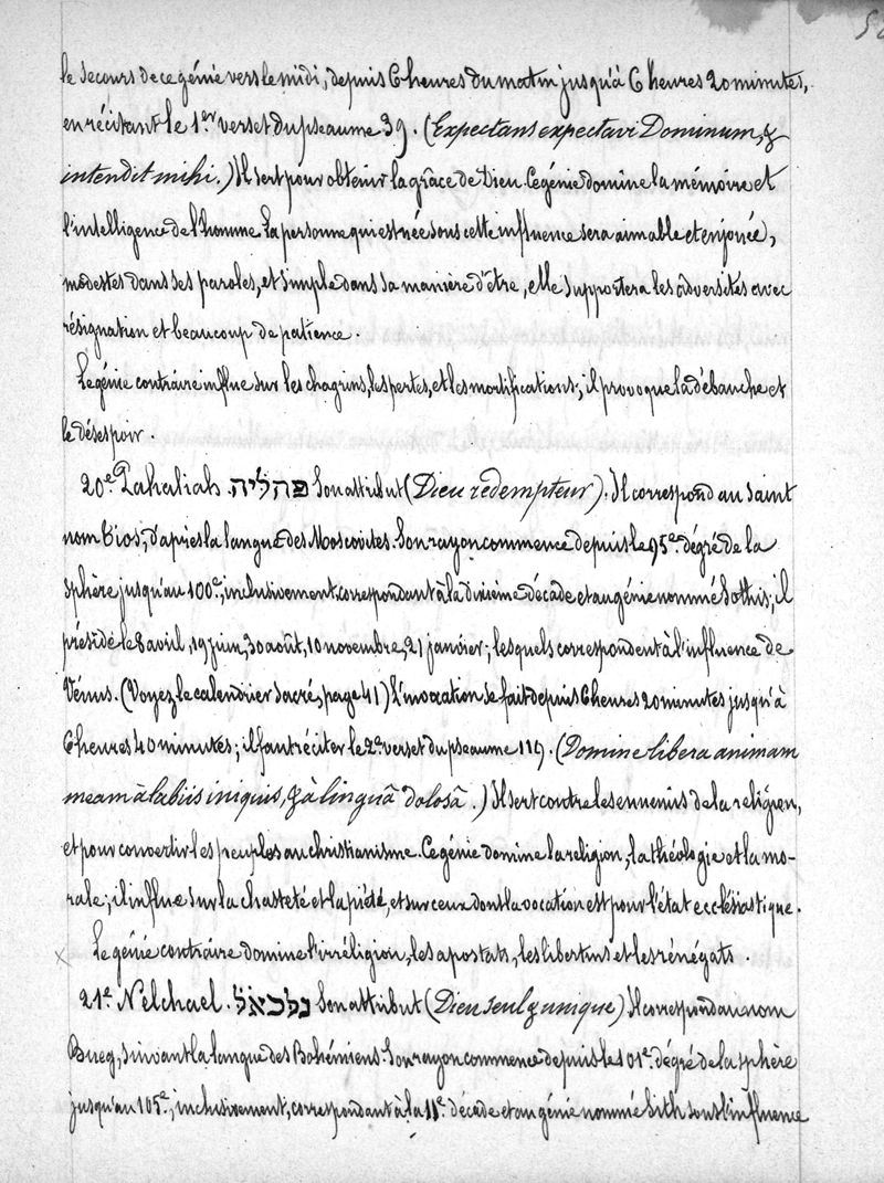
Lenain, Lazare .
La science cabalistique, ou l'art de connaître les bons génies qui influent sur la destinée des hommes, avec l'explication de leurs talismans et caractères mystérieux et la véritable manière de les composer, suivant la doctrine des anciens mages égyptiens, arabes et chaldéens, recueillie d'après les auteurs les plus célèbres qui ont écrit les hautes sciences...
Amiens, 1823.
Page à Page
Par chapitres
PDF Cliquez ici pour telecharger tout ou partie de ce document au format Adobe PDF (Acrobat)
Sur Internet Archive

Page suivante


URL pérenne de cette page : https://www.biusante.parisdescartes.fr/histmed/medica/page?ms05365&p=67

page précédente

Lenain, Lazare .
La science cabalistique, ou l'art de connaître les bons génies qui influent sur la destinée des hommes, avec l'explication de leurs talismans et caractères mystérieux et la véritable manière de les composer, suivant la doctrine des anciens mages égyptiens, arabes et chaldéens, recueillie d'après les auteurs les plus célèbres qui ont écrit les hautes sciences...
Amiens, 1823.
Page à Page
Par chapitres
PDF Cliquez ici pour telecharger tout ou partie de ce document au format Adobe PDF (Acrobat)
Sur Internet Archive

Page suivante

Monogramme Université Paris Cité Logo Investissements d'avenir
Contacts Mentions légales Plan du site